-

word怎么把多行多段文字合成一行或一段文字
word文档 01、现有图片中的多行文字,在右上角点击“替换”。 02、我们目的是把换行符去掉,点击“更多”。 03、在查找内容里输入^p或者点击左下角的“特殊格式”--“段落标记”,“替换为”...
2023-02-10阅读量:146
-

如何克服论文写作中的困难
01、多跟导师沟通。如果是写作论文中有很多不懂的地方,直接跟老师沟通,是得益最快的。不过在去请教老师之前,最好你心理也有一点自己的个人看法,这样才显得沟通是一种相互的过程,而不是老师把知识全盘教给你。...
2023-02-10阅读量:104
-

大学生应该如何训练写论文的能力
01、大学生训练自己写论文的能力,首先要运用科学的方法。平时可以提高大学生的语言表达能力和与同学之间进行合作的能力。 02、大学生训练自己写论文的能力还要多参加一些校内课余实践活动,这样可以让他们有...
2023-02-10阅读量:98
-

梵语基础词汇大全集
01、梵语,是古印度的标准的语言,在古代称之为天竺语。它普遍使用在吠陀、梵书、森林书、奥义书及北传佛教圣典当中,梵语是当时一门具有重要地位的语言文化。 02、据研究显示,梵语字母一共有四十七个音,在...
2023-02-10阅读量:115
-

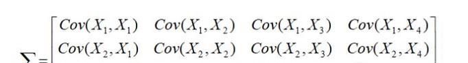
协方差矩阵怎么求
01、首先我们要了解协方差矩阵的意义,协方差矩阵每个元素Cov(xi,xj)表示的随机变量xi与xj的协方差,并且对角线上的元素等于向量自身的方差。 02、协方差代表两个变量之间的关系,其计算公式如...
2023-02-10阅读量:120
-

考博的前期准备工作有哪些
01、发核心期刊博士研究生需要很强的科研能力,发核心期刊是科研能力的代表。核心期刊的审核又是一个漫长的过程,因此需要提前做准备。如果没能发表成功,将对复试很不利。 02、提前确定学校及联系导师博士生...
2023-02-10阅读量:95
-

怎样有效预防或减轻妊娠纹
01、控制体重可以预防妊娠纹的出现,尽量每个月长2斤,孕期只长14斤左右。 02、从怀孕3个月开始到生育后3个月都使用橄榄油或者精油按摩腹部进行预防。 03、由于蛋白质是胶原纤维的原料,所以要多补...
2023-02-10阅读量:112
-

哪个国家的博士学位更容易获得
01、其实具体的来说,这个标准对每个人来说是不一样,要看高校的招生条件和你是否契合。 02、首先来排除掉最难申请的三个国家的博士——英国、美国、加拿大。英美的博士教育期很长,且考核很严格,要想毕业很...
2023-02-10阅读量:119
-

如何弘扬民族精神
01、首先我想告诉大家的是一定要给适龄的孩子进行书本上的教育,让他们对中国的民族精神有一定的认识。 02、还有就是通过政府部门的宣传,到宣传日的时候面向广大的市民进行宣传就可以了。 03、还有就是...
2023-02-10阅读量:107
-

如何把word表格中的斜线去除
word 01、首先我们打开含有斜线的表格。 02、用鼠标选中含斜线的那个空格。 03、点击右键,点击类似于田字格的那个按钮。 04、点击“斜下杠线”。如果斜线本来是向上斜的,则点击“斜上杠线...
2023-02-09阅读量:110
热门文章
1.穿越火线幻影道具卡怎么用
- 1

- 穿越火线幻影道具卡怎么用
- 2022-12-14
- 1
2.我的世界手机版怎么在电脑上玩
- 2

- 我的世界手机版怎么在电脑上玩
- 2022-12-14
- 2
3.魔兽隐藏英雄密码大全:净天之命1.78
- 3

- 魔兽隐藏英雄密码大全:净天之命1.78
- 2022-12-14
- 3
4.梦幻西游坐骑攻略
- 4

- 梦幻西游坐骑攻略
- 2022-12-14
- 4
5.不思议迷宫大小SL怎么操作
- 5

- 不思议迷宫大小SL怎么操作
- 2022-12-14
- 5
6.骑马与砍杀 新手入门攻略
- 6

- 骑马与砍杀 新手入门攻略
- 2022-12-14
- 6
7.如何把fl studio水果英文版转化成中文版
- 7

- 如何把fl studio水果英文版转化成中文版
- 2022-12-14
- 7
8.dnf魔界深渊任务怎么卡
- 8

- dnf魔界深渊任务怎么卡
- 2022-12-14
- 8
9.百万英雄个性化题如何提高正答率?
- 9

- 百万英雄个性化题如何提高正答率?
- 2022-12-14
- 9
10.LOLS7电耗子凯南上单出装攻略天赋符文
- 10

- LOLS7电耗子凯南上单出装攻略天赋符文
- 2022-12-14
- 10
猜您喜欢

dnf90级ss哪个图爆率高?
2022-12-14

LOLS7劫影流之主中单最新出装天赋符文加点
2022-12-14

魔兽世界7.0如何快速升1-110级
2022-12-14

吞食天地2 景帝墓迷宫图文攻略
2022-12-14

赛尔号谱尼怎么打
2022-12-14

穿越火线刷等级方法技巧介绍
2022-12-14

LOL CF 您的游戏环境异常 请重启机器后再试
2022-12-14

三国群英传1攻略
2022-12-14

剑三世界boss怎么打
2022-12-14

剑网3精金阁的声望怎么刷?日常任务怎么接?
2022-12-14
