-

放假回家不想写作业怎么办
中国的小孩从学校一放假老师都会给布置假期作业,如果放假回家不想写作业怎么办呢? 01、首先作业肯定是要在假期结束之前完成的,因为回到学校后老师要检查作业,所以迟早得写。 02、建议大家不要将作...
2023-02-10阅读量:147
-

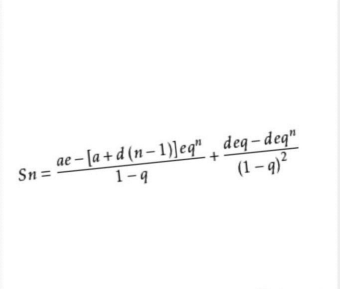
数列求和的基本方法
数列求和是按照一定规律排列的数进行求和。求Sn实质上是求{Sn}的通项公式,应注意对其含义的理解。以下便是几种数列求和的方法。 01、差比数列求和法。运用此公式从而求出数列。a:等差数列首项d:...
2023-02-10阅读量:133
-

如何快速导出论文参考文献格式?
参考文献是一篇论文的重要组成部分,不过参考文献的格式是很繁琐的,有没有一种方法,可以快速导出论文参考文献格式呢?今天我来介绍一种简单方法。 01、在网页搜索“中国知网”,并进入“中国知网...
2023-02-10阅读量:149
-

excel的最大行数和列数分别是多少?
Excel是常用的电子表格处理软件,在我们的印象中,似乎Excel表格行数和列数是无限的,那excel有没有最大行数和列数的限制呢?我来聊聊这个话题。 01、打开一个excel的空白页(...
2022-12-26阅读量:134
-

高考志愿如何选择方向?
高考为人生必经之路,当我们通过了高考,更为重要的是如何抉择你的高考志愿,志愿不仅影响到今后前往的大学,还决定到以后的工作方向,对我们的人生有着极大的蝴蝶效应般的作用及影响。选择至关重要。 高考志愿书...
2022-12-24阅读量:141
-

word如何使用制表位
我们在编写报告的时候,应用制表位,可以快速地使内容对齐,让文档显得简洁美观,今天我们就来讲讲应用制表位的技巧。 01、打开一个文档作为示范,如图所示,我们需要应用制表位,给它做简单的排版。 02、...
2022-12-27阅读量:144
-

教你如何快速从pdf文档中导出想要的图片
PDF格式作为一种便携式文档格式,是我们平时经常能看到的。那如果我们在PDF文档中看到吸引自己的图片,怎么才能导出呢?我们知道,普通的PDF阅览器是不能实现图片导出的,今天,我来谈一种方法,可以快速导...
2022-12-28阅读量:104
-

如何裁剪pdf文件或者删除pdf文件白边
我们有的时候浏览PDF文档,会看到文档里面有很多留白,这是由于扫描或者缩放时操作不当引起的,那如何能裁剪页面,去掉留白呢?今天我来谈谈这个技巧。 Adobe Acrobat 9 Pro软件 ...
2023-02-19阅读量:152
-

怎么利用excel求指数函数
excel是微软公司推出的办公软件。下面,我们来看看怎么利用excel求指数函数吧。 01、excel文档首先打开一张excel文档,如下图所示: 02、输入数字然后在A和B列中输入如...
2022-12-23阅读量:130
-

想考研怎样查询学校和专业
现在越来越多的人选择考研,在考研的前期我们是需要做很多工作的,比如查询查询学校和专业,前期工作做好了在后期的时候我们就可以安心的复习,现在我们就一起来看一下考研怎样查询学校和专业吧。 01、首先我们...
2022-12-22阅读量:114
热门文章
1.怎样用网通去电信区玩LOL?
- 1

- 怎样用网通去电信区玩LOL?
- 2022-12-14
- 1
2.dnf辅助装备怎么带
- 2

- dnf辅助装备怎么带
- 2022-12-14
- 2
3.造梦西游5宠物(灵宠)怎么获得。
- 3

- 造梦西游5宠物(灵宠)怎么获得。
- 2022-12-14
- 3
4.红警3秘籍大全
- 4

- 红警3秘籍大全
- 2022-12-14
- 4
5.嗨氏电脑按键设置教程
- 5

- 嗨氏电脑按键设置教程
- 2022-12-14
- 5
6.暗黑血统2图文攻略
- 6

- 暗黑血统2图文攻略
- 2022-12-14
- 6
7.dnf耳环任务格拉古尔在哪?dnf90耳环任务流程?
- 7

- dnf耳环任务格拉古尔在哪?dnf90耳环任务流程?
- 2022-12-14
- 7
8.怎么在Word文档的非第一页,设定页码为“1”
- 8

- 怎么在Word文档的非第一页,设定页码为“1”
- 2022-12-14
- 8
9.微信活动之微信拆礼盒活动怎么做
- 9

- 微信活动之微信拆礼盒活动怎么做
- 2022-12-14
- 9
10.恋与制作人攻略之如何提升公司实力?
- 10

- 恋与制作人攻略之如何提升公司实力?
- 2022-12-14
- 10
猜您喜欢

CF穿越火线怎么解封180_30天申诉教程
2022-12-14

页游私服介绍
2022-12-14

为什么中国做不出像旅行青蛙这样的游戏
2022-12-14

dnf被制裁怎么缩短时间
2022-12-14

罪恶都市怎么游泳秘籍
2022-12-14

小米电视怎么看电视直播
2022-12-14

u盘格式化后的文件能找回吗
2022-12-14

Excel表格里垂直滚动条怎么调长?
2022-12-14

Word2013中打印快捷键一览表设置
2022-12-14

怎样修改iTunes备份目录路径释放C盘空间
2022-12-14
